Math In Chemistry Worksheet

Math In Chemistry Worksheet. The second factor is 10 raised to a power. Math in chemistry worksheet packet significant figures practice determine the number of significant figures in each quantity.

Chemistry Worksheet Grade 10 PDF Hydrogen Ionic Bonding
Chemistry Worksheet Grade 10 PDF Hydrogen Ionic Bonding from www.scribd.com

Below there are 8 worksheets covering the skills you'll need. The second factor is 10 raised to a power. 54 yards to mm 8.

1) 1234 Liters 2) 3010 Grams 3) 890.


Web the set of chemistry worksheets will help pupils understand the most crucial concepts they’ll need to succeed in their studies. Math in chemistry worksheet packet significant figures practice determine the number of significant figures in each quantity. Web this is an alphabetical list of worked example chemistry problems.

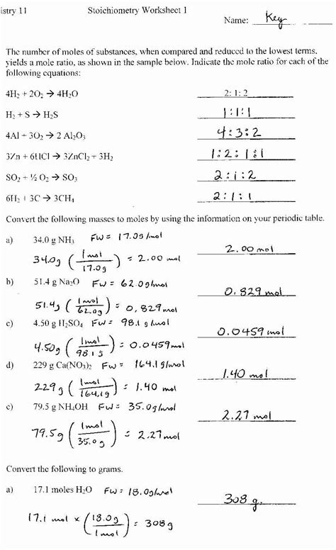
Web Chemistry Worksheet #1 I.


Web the first factor is a number that is greater than or equal to 1 but less than 10. Finding number of atoms in a chemical formula. Web browse chemistry math resources on teachers pay teachers, a marketplace trusted by millions of teachers for original educational resources.

General Chemistry Is Shared Under A Cc By.


5,400 in to mi 6. The second factor is 10 raised to a power. You’ll easily find worksheets on a variety of.

19 In2 To Ft2 2.


Web the chemistry worksheets we’ve designed will allow students to fully grasp the most important topics they’ll need to support their learning. Set up and solve the following using dimensional analysis. Below there are 8 worksheets covering the skills you'll need.

General Chemistry (Guided Inquiry) Worksheets:


For those combinations that are permissible, write the appropriate. 54 yards to mm 8. I've written it to @elonmusk explosion too, to explain how.